Melatonin
Melatonin ist ein körpereigenes Hormon, das vom Körper aus Serotonin synthetisiert wird und beim Menschen vor allem in der Zirbeldrüse (Epiphyse bzw. glandula pinealis oder corpus pineale) vorkommt. Eine geringe Melatoninproduktion und Freisetzung kommt jedoch auch außerhalb der Zirbeldrüse vor. Typisch für Melatonin ist ein circadianer (tageszeitabhängiger) Rhythmus der Melatoninkonzentration im Blut. Die höchsten Konzentrationen finden sich in der Nacht. Diese rhythmischen Konzentrationsschwankungen unterliegen dabei einer Steuerung durch die so genannte innere Uhr des Menschen, die in den suprachiasmatischen Kerngebieten (SCN) lokalisiert ist. Nervenbahnen vom Auge synchronisieren die innere Uhr, die wiederum über eine weitere Verschaltung die Melatoninproduktion in der Zirbeldrüse steuert. Der Melatoninspiegel wirkt wiederum zurück auf die SCN, sodass sich ein geschlossener Regelkreis ergibt, der durch von außen eintreffende Reize (vor allem Tageslicht) phasenstarr synchronisiert ist. Die circadianen Spiegelschwankungen sind über das Blut ein körperweites chemisches Signal. Dieses ermöglicht den Körperzellen ihren eigenen circadian-rhythmischen Stoffwechsel mit dem des restlichen Körpers zu synchronisieren. Der bei Erwachsenen ausgeprägte circadiane Rhythmus des Melatoninspiegels ist beim alten Menschen weniger ausgeprägt und kann sogar ausbleiben, zudem sind die Melatoninkonzentrationen deutlich geringer und es zeigen sich häufig im Alter Verkalkungen der Zirbeldrüse, die im Röntgenbild sehr deutlich zu sehen sind. Die im Alter veränderte Freisetzungsrhythmik wird als ein möglicher Grund für die häufigen Schlafstörungen des alten Menschen angesehen. Menschen, denen wegen eines Tumors die Zirbeldrüse entfernt werden musste, haben häufig Schlafstörungen, die mit einer pünktlich einzunehmenden Melatoninsubstitution behandelbar sind. Dennoch gibt es paradoxerweise auch Menschen, die ohne Zirbeldrüse schlafgesund sind.
Melatonin ist maßgeblich vor allem für die Steuerung:
- von Biorhythmen, wie des Tag-Nacht-Rhythmus (circadianer Rhythmus)
- von jahresperiodischen Vorgängen (circanuale Rhythmen) bei verschiedenen Tierarten (z.B. die Auslösung des Vogelzuges im Herbst und Frühjahr - „Zugunruhe“)
- der Fortpflanzung
- des Fellwechsels
- der Mauser bei Vögeln.
Zudem scheint es eine Rolle bei der Steuerung des Winterschlafes zu spielen.[1][2] Melatonin senkt die Körpertemperatur und drosselt den Energiehaushalt. Dabei ist Melatonin aber kein Schlafmittel im eigentlichen Sinn, sondern teilt dem Körper nur mit, dass es gerade dunkel ist. Durch das Hormon werden viele körperliche Funktionen heruntergefahren. So beeinträchtigt es die Fruchtbarkeit beim Mann, weil es die Mobilität der Spermien vermindert. Daher war Melatonin eine Zeitlang als Pille für den Mann im Gespräch.
Außerdem ist Melatonin bei Schlafstörungen, beim Jet-Lag, Anpassungsstörungen nach Flugreisen über mehrere Zeitzonen, und der saisonal auftretenden Depression ("Winterdepression") beteiligt.
Melatonin gilt als starkes Antioxidans, allerdings sind die Melatoninspiegel gleichzeitig relativ niedrig. Melatonin hat auch eine das Immunsystem stimulierende Wirkung und spielt eine Rolle bei der sexuellen Differenzierung in der Pubertät.
Als wohl bekannteste Autorin gilt die Grande Dame der Melatoninforschung, Josephine Arendt aus England.
Biosynthese
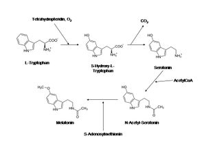
Melatonin ist ein Indolamin und wird vor allem in der Zirbeldrüse (Epiphyse) in zwei Schritten aus der Aminosäure Tryptophan über Serotonin synthetisiert. Die Bildung von Melatonin wird durch die mit der Netzhaut des Auges empfangenen Lichtreize gehemmt, so dass der Melatoninspiegel nachts am höchsten ist und damit einem typischen Nacht-Tag-Rhythmus unterliegt. Der Melatoninspiegel unterliegt auch jahreszeitlichen Änderungen. Bedingt durch die längeren Dunkelphasen im Winter wird in dieser Jahreszeit auch mehr Melatonin synthetisiert.
Anwendung als Medikament
Melatonin wird als Arzneimittel zur Behandlung von Schlafstörungen und des Jet-Lags eingesetzt. Ein melatoninhaltiges Medikament ist seit Anfang 2008 in Deutschland zur Behandlung von primärer Schlaflosigkeit bei Patienten ab 55 Jahren zugelassen.[3][4] Eine dem Melatonin strukturell ähnliche Substanz befindet sich derzeit im Zulassungsverfahren zum Einsatz als Antidepressivum.[5]
Agomelatin (Handelsname Valdoxan, Hersteller Servier) ist eine dem Melatonin strukturell verwandte chemische Verbindung mit Zulassung als Arzneimittel in Europa. Die Substanz hat eine Zulassung als Antidepressivum und ist zur Zeit Gegenstand klinischer Forschung.
Anwendung in der Pseudomedizin
Neben dem Einsatz von Melatonin und Melatonin-Analoga, für die ein medizinisches Rationale auf Basis kontrollierter Studien besteht, wird in manchen Ländern (insbesondere den USA) Melatonin als freiverkäufliches Nahrungsergänzungsmittel mit vielfältigen, angeblich gesundheitsfördernden Versprechungen angeboten. In Deutschland ist Melatonin jedoch ein verschreibungspflichtiges Arzneimittel.
Melatonin wurde etwa ab den 1990er Jahren durch eine kleine Gruppe von Wissenschaftlern und populärwissenschaftlichen Buchautoren auf schwacher Datenbasis und im Rahmen von Hypothesen eine Reihe von Wunderwirkungen unterstellt, die von der amerikanischen Nahrungsergänzungsmittelindustrie sofort aufgegriffen wurden, um Melatonin in Tablettenform anzubieten. Anfangs war Melatonin aus Rindern im Angebot, aus Sicherheitsgründen sind aber mittlerweile nur synthetisch hergestellte Melatoninpräparate im Handel.
Die Urheber des Melatonin-Hypes der 1990er Jahre, der heute noch in abgeschwächter Form zu beobachten ist, waren drei Melatoninforscher aus Texas und der Schweiz. In den USA (San Antonio) veröffentlichte der Forscher Russell J. Reiter ein populärwissenschaftliches Buch zu Melatonin, in dem er auf die antioxidativen Wirkungen von Melatonin hinwies und über mögliche zellschützende und lebenszeitverlängernde Effekte von Melatonin spekulierte. Sein Buch wurde in kurzer Zeit zu einem Bestseller und das Thema wurde von einer Vielzahl von Laienautoren dies- und jenseits des Atlantiks aufgegriffen und in immer aufbauschenderen Worten wiederholt. In der Schweiz machten die Forscher Georges Maestroni und Walter Pierpaoli (im internen Jargon die Schweizer) durch ähnliche Bestseller-Werke auf sich aufmerksam.[6] Sie führten zudem Experimente an Versuchsratten durch, die zeigen sollten, dass Melatonin ein Hormon sei, das den Alterungsprozess steuere. In den Studien von Maestroni und Pierpaoli an Ratten wurden jedoch später schwerwiegende technische Mängel entdeckt: die verwendeten Inzuchtratten hatten einen Gendefekt, der zu einer gestörten Melatoninsekretion führte. Ausgangspunkt der Überlegungen zu einem möglichen lebenszeitverlängernden Effekt von Melatonin waren oder sind einerseits mögliche zellschützende Wirkungen von Melatonin auf Basis der Hypothese, dass Altersveränderungen im Körper durch oxidativen Stress (als eine der so genannten Abnutzungstheorien des Alters) hervorgerufen würden und Melatonin als Antioxidans hier eingreifen könne. Andererseits wurde unterstellt, dass die bekannten, im Alter abnehmenden Melatoninspiegel vom Körper als eine Art Signal zum Umschwenken auf einen Alterungsprozess zu verstehen seien und die zusätzliche Einnahme von Melatonin hier eingreifen könne.
Der wissenschaftliche Nachweis, dass Melatonin tatsächlich das Altern verzögert, fehlt bislang, ebenso Langzeitstudien zu möglichen Nebenwirkungen. Um präventiv wirksam zu sein, müsste Melatonin in relativ hoher Dosierung eingenommen werden, was eine Störung circadianer Rhythmen zur Folge hätte, wenn dieses nicht regelmäßig jeden Tag zu einer bestimmten Zeit eingenommen würde. Streng genommen müsste eine Behandlung mit Melatonin bereits in der Kindheit einsetzen, was sich wegen der Störung der kindlichen Sexualentwicklung jedoch verbietet.
Melatonin Quellen
Melatonin findet sich in Tomaten, allerdings müsste ein Konsument sehr grosse Mengen an Tomaten zu sich nehmen um einen Effekt durch vorhandenes Melatonin zu erhalten. In einer einzigen iranischen Studie wurden hohe Melatoninkonzentrationen in Pistanzien behauptet. Wie eine spätere Untersuchung an Pistanzien ergab, ist jedoch die Melatoninkonzentration in Pistanzien sehr gering. MedWatch behandelt das Thema ausfühlich: Link: Artikel bei Medwatch, April 2020. Dir iranische Pistazienstudie wurde inzwischen mit „expression of concern“ - Hinweis markiert.
Melatonin als angebliches lebenszeitverlängerndes Anti-Aging Mittel
Unter anderem wird es als Anti-Aging-Mittel zur Vorbeugung von Altersbeschwerden und als Antioxidans angepriesen. Melatoninprodukte werden meist in Form von Kapseln vertrieben. Daneben wird spezielle „Nachtmilch“ angeboten, die von nachts gemolkenen Kühen stammt und einen erhöhten Melatoningehalt aufweise.[7] In der Schweiz darf Nachtmilch seit 2005 nicht mehr als Lebensmittel vertrieben werden, da sie den strengen Anforderungen des Lebensmittelrechts nicht genügt.[8]
Dem Melatonin wird eine angeblich lebensverlängernde Wirkung zugeschrieben. Diese soll durch die Schutzwirkungen des Melatonins vor Zellschäden entstehen, die ja eine von mehreren Ursachen für die Zellalterung ist. Allerdings müsste dann ein Mensch Melatonin hochdosiert jeden Tag einnehmen (oder eine Retardform in anderen Intervallen), und das seit seiner Geburt für sein ganzes Leben. Dies hätte wahrscheinlich Folgen für die Fortpflanzungsfähigkeit, sexuelle Entwicklung und die circadianen Rhythmen des Individuums. Die Abnahme der Melatoninkonzentration mit dem Lebensalter ist die Folge und nicht die Ursache des Alterns. Die behaupteten Wirkungen gegen das Altern haben sich beim Menschen bis jetzt nicht beweisen lassen.
Des Weiteren wird Melationin als Mittel zur Stärkung des Immunsystems sowie als Schutz vor Krebs und der Alzheimer-Erkrankung angeboten.[9] Ob Melatonin bei all diesen Indikationen wirkt, ist wissenschaftlich nicht nachgewiesen.
Anwendung in kosmetischen Produkten
Melatonin wird einigen kosmetischen Cremes in geringen Mengen zugesetzt. Die Unbedenklichkeit dieser Prokukte ist nicht eindeutig belegt.[10]
Blaufilter-Brille
Siehe Artikel Blaufilter-Brille.
Nachtmilchkristalle
Unter der Bezeichnung Nachtmilchkristalle wird auch Milchpulver aus getrockneter Kuhmilch von nachts gemolkenen Kühen angeboten. Dieses Lebensmittel soll eine hohe Konzentration an Melatonin aufweisen und daher schlaffördernde Effekte haben. Ein Beutel Nachtmilchkristalle kostet pro 9-Gramm-Packung etwa 1,55€. Der Gehalt an Melatonin ist jedoch verschwindend gering. Um die Wirkung einer Tablette mit 2 mg Melatonin zu erreichen, müssten 2 Millionen Portionen eingenommen werden. Zudem ist Melatonin kein klassisches Schlafmittel und steht auch nicht als solches in Apotheken zur Verfügung.[11]
Gesundheitliche Risiken
Die Risiken einer Langzeiteinnahme von Melatonin sind kaum untersucht. Nebenwirkungen können bisher kaum abgeschätzt werden. Unter anderem können diese daraus resultieren, dass der Körper, wenn er das Melatonin von außen zugeführt bekommt, die eigene Produktion einstellen könnte. Daneben gibt es Anhaltspunkte dafür, dass die Einnahme für Epileptiker und Parkinsonpatienten sowie für Menschen, die Blutgerinnungshemmer einnehmen, nicht ungefährlich ist. Auch ist durch die vermehrte Bildung weißer Blutkörperchen die Gefahr einer Leukämie erhöht. Übelkeit, Kopfschmerzen oder Alpträume können auftreten. In Einzelfällen löste die Einnahme von Melatonin schwere Depressionen aus.
Melatonin wirkt im Tierversuch schädigend auf die männlichen und weiblichen Fortpflanzungsorgane. Untersuchungen am Menschen haben gezeigt, dass die orale Anwendung von 300 mg Melatonin zu einer Beeinflussung der weiblichen Fruchtbarkeit führt.[12]
Das Hormon Melatonin ist in Europa wegen seines erheblichen Einflusses auf den Körper als Medikament eingestuft. Alle frei verkäuflich erhältlichen Melatoninprodukte stammen aus Übersee. In Europa werden diese dann als nur unzureichend kontrolliertes Nahrungsergänzungsmittel in Drogerien angeboten, so dass für den Verbraucher die Qualität der entsprechenden Produkte nicht abschätzbar ist.[13]
Literatur
- Arendt J: Melatonin and the mammalian pineal gland. Chapman and Hall, London, 1995.
Weblinks
- Nadja Podbregar: Der Stoff aus dem die Träume sind… scinexx Wissensmagazin 19.11.2004
- Melatonin als Arzneimittel zulassungspflichtig Presseerklärung des Bundesinstituts für Arzneimittel und Medizinprodukte 14.06.1996
- Christina Hohmann: Belastender Kampf mit dem Tagesrhythmus Pharmazeutische Zeitung Ausgabe 36/2007
- Melatonin Artikel im Schweizer PharmaWiki
- Theodor Lippert: Traum und Realität in der Melatoninforschung Dtsch Arztebl 1998; 95(28-29)
Quellenverzeichnis
- ↑ http://www.mpg.de/bilderBerichteDokumente/multimedial/mpForschung/2001/heft01/mpf01_1_060_063.pdf
- ↑ http://www.scinexx.de/dossier-detail-426-8.html
- ↑ http://www.medknowledge.de/neu/med/jahr/2008/II-2008-14-melatonin.htm
- ↑ http://www.pharmazeutische-zeitung.de/index.php?id=5676
- ↑ http://de.wikipedia.org/wiki/Agomelatin
- ↑ W Pierpaoli and W Regelson. Pineal control of aging: effect of melatonin and pineal grafting on aging mice. Proc Natl Acad Sci U S A. 1994 January 18; 91(2): 787–791
- ↑ http://www.bionetz.ch/news/hintergrund/2004/bground137.htm
- ↑ http://www.animal-health-online.de/lme/2005/02/01/aus-fuer-die-nachtmilch/956/
- ↑ http://melatonin-info.de/_wsn/page2.html
- ↑ http://www.bfr.bund.de/cm/206/verwendung_von_melatonin_in_kosmetischen_mitteln___stellungnahme_des_bgvv_vom_29._august_2001.pdf
- ↑ http://gutepillen-schlechtepillen.de/pages/archiv/jahrgang-2010/nr.-3-maijuni-2010/aufgespiesst-ndash-aus-internet-und-werbung-melatonin-haltige-nachtmilchkristalle.php
- ↑ http://www.bfr.bund.de/cm/206/verwendung_von_melatonin_in_kosmetischen_mitteln___stellungnahme_des_bgvv_vom_29._august_2001.pdf
- ↑ http://www.netdoktor.de/Medikamente/Melatonin-2745.html

